-
分类: 科研抗体货号: P43088别名: AWAT1; DGA2; DGAT2L3; Acyl-CoA wax alcohol acyltransferase 1; Diacylglycerol O-acyltransferase 2-like protein 3; Diacylglycerol acyltransferase 2; Long-chain-alcohol O-fatty-acyltransferase 1应用: WB反应种属: Human
-
分类: 科研抗体货号: P43087别名: DDX55; KIAA1595; ATP-dependent RNA helicase DDX55; DEAD box protein 55应用: WB,IHC反应种属: Human,Mouse
-
分类: 科研抗体货号: P43102别名: MAEA; EMP; HLC10; PIG5; Macrophage erythroblast attacher; Cell proliferation-inducing gene 5 protein; Erythroblast macrophage protein; Human lung cancer oncogene 10 protein; HLC-10应用: WB,IHC反应种属: Human,Mouse,Rat
-
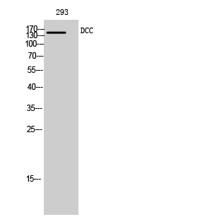
分类: 科研抗体货号: P43086别名: DCC; IGDCC1; Netrin receptor DCC; Colorectal cancer suppressor; Immunoglobulin superfamily DCC subclass member 1; Tumor suppressor protein DCC应用: WB,IF反应种属: Human,Mouse,Rat
-
分类: 科研抗体货号: P43121别名: SLC2A1; GLUT1; Solute carrier family 2; facilitated glucose transporter member 1; Glucose transporter type 1, erythrocyte/brain; GLUT-1; HepG2 glucose transporter应用: WB,IHC反应种属: Human,Mouse,Rat
-
分类: 科研抗体货号: P43101别名: ELOVL4; Elongation of very long chain fatty acids protein 4; 3-keto acyl-CoA synthase ELOVL4; ELOVL fatty acid elongase 4; ELOVL FA elongase 4应用: WB反应种属: Human,Mouse
-
分类: 科研抗体货号: P43113别名: GATA1; ERYF1; GF1; Erythroid transcription factor; Eryf1; GATA-binding factor 1; GATA-1; GF-1; NF-E1 DNA-binding protein应用: WB,IP,IHC,IF反应种属: Human,Mouse,Rat
-
分类: 科研抗体货号: P43119别名: GHRHR; Growth hormone-releasing hormone receptor; GHRH receptor; Growth hormone-releasing factor receptor; GRF receptor; GRFR应用: WB,IF反应种属: Human,Mouse,Rat
-
分类: 科研抗体货号: P43100别名: ELF4; ELFR; MEF; ETS-related transcription factor Elf-4; E74-like factor 4; Myeloid Elf-1-like factor应用: WB反应种属: Human,Mouse
-
分类: 科研抗体货号: P43112别名: FOXC1; FKHL7; FREAC3; Forkhead box protein C1; Forkhead-related protein FKHL7; Forkhead-related transcription factor 3; FREAC-3; FOXC2; FKHL14; MFH1; Forkhead box protein C2; Forkhead-related protein FKHL14; Mesenchyme fork head protein 1;应用: WB,IHC,IF反应种属: Human,Mouse,Rat
鄂公网安备42018502007531号

